FsGlu3C
Ex-Glu0329
(EC.3.2.1.21) exo-β-1,4-Glucosidase
CAZy Family: GH3
PROPERTIES
1. ELECTROPHORETIC PURITY
-Single band on SDS-gel electrophoresis (MW ~82kDa)

Figure 1. Electrophoresis analysis of FsGlu3C. M, molecular weight marker (PageRuler Prestained Protein Ladder, Thermo Scientific); lane 1, culture lysate before IPTG induction; lane 2, culture lysate of after IPTG induction; lane 3,Crude enzyme of FsGlu3C;lane 4, FsGlu3C purified from Ni sepharose fastflow column. lane 5, Cell debris of after IPTG induction.
2. SPECIFIC ACTIVITY
4.9 U/mg protein (on pNP-β-glu) at pH 7.0 and 37°C
One Unit of pNP-β-glu activity is defined as the amount of enzyme required to release 1 μmol of p-nitrophenyl per minute from pNP-β-glu (5 mM) in phosphate buffer (20 mM) pH 7.0.
3. RELATIVE RATES OF HYDROLYSIS OF SUBSTRATES
Table 1. Relative activity of FsGlu3C on different substrates
Substrate |
Enzyme activity(U/mg) |
pNPβGlc |
4.9±0.3 |
pNPβGal |
- |
pNPβMan |
- |
pNPβXyl |
- |
pNPαGlc |
- |
pNPαGal |
- |
pNPαMan |
- |
pNPαXyl |
- |
pNPαArap |
- |
pNPαAraf |
- |
pNPαRha |
- |
pNPαFuc |
- |
Table2. Kinetic parameters for FsGlu3C on pNP-β-glu.
Enzyme |
Km(mM) |
Vmax(mmol/min/mg) |
kcat(s-1) |
FsGlu3C |
2.98±0.29 |
4.22±0.28 |
5.6±0.37 |
![]()

Figure 2. TLC analyses of biotransformation of Rb1,Rb2,Rb3,Rc and Rd by recombinant FsGlu3C.
4. PHYSICOCHEMICAL PROPERTIES
pH Optima: 6.0
pH Stability: 6.0-9.0
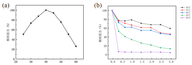
Temperature Optima: 40 °C
Temperature Stability: 30-40°C

Figure 3. Effect of pH on activity (a) and stability (b) of FsGlu3C using pNP-Glu as substrate. The optimal pH (a) was determined at different pH from 2 to 11. The maximum activity obtained was defined as 100% activity. Thermal stability was determined by incubating the enzyme for 3 h at different pH. The activity of the enzyme before incubation was defined as 100%. Results are presented as means ± standard deviations(n = 3).

Figure 4. Effect of temperature on activity (a) and stability (b) of FsGlu3C using pNP-Glu as substrate. The optimal temperature (a) was determined at different temperatures from 20 to 90℃. The maximum activity obtained was defined as 100% activity. Thermal stability was determined by incubating the enzyme for 3 h at different temperatures. The activity of the enzyme before incubation was defined as 100%. Results are presented as means ± standard deviations(n = 3).
5. STORAGE CONDITIONS
The enzyme should be stored at -20℃. For assay, this enzyme should be diluted in phosphate buffer (20 mM) pH 7.0. Swirl to mix the enzyme immediately prior to use.
6. REFERENCES
[1] 刘洋. 嗜糖黄杆菌中β-葡萄糖苷酶重组表达及功能研究[D]. 东北师范大学, 2022.
[2] 董博妍, 原野. 嗜糖黄杆菌β-葡萄糖苷酶的功能及在稀有人参皂苷制备中的应用[J]. 微生物学通报, 2023, 50(09): 3833-3847.
FsGlu3C
Ex-Glu0329
(EC.3.2.1.21) exo-β-1,4-Glucosidase
CAZy Family: GH3
PROPERTIES
1. ELECTROPHORETIC PURITY
-Single band on SDS-gel electrophoresis (MW ~82kDa)

Figure 1. Electrophoresis analysis of FsGlu3C. M, molecular weight marker (PageRuler Prestained Protein Ladder, Thermo Scientific); lane 1, culture lysate before IPTG induction; lane 2, culture lysate of after IPTG induction; lane 3,Crude enzyme of FsGlu3C;lane 4, FsGlu3C purified from Ni sepharose fastflow column. lane 5, Cell debris of after IPTG induction.
2. SPECIFIC ACTIVITY
4.9 U/mg protein (on pNP-β-glu) at pH 7.0 and 37°C
One Unit of pNP-β-glu activity is defined as the amount of enzyme required to release 1 μmol of p-nitrophenyl per minute from pNP-β-glu (5 mM) in phosphate buffer (20 mM) pH 7.0.
3. RELATIVE RATES OF HYDROLYSIS OF SUBSTRATES
Table 1. Relative activity of FsGlu3C on different substrates
Substrate |
Enzyme activity(U/mg) |
pNPβGlc |
4.9±0.3 |
pNPβGal |
- |
pNPβMan |
- |
pNPβXyl |
- |
pNPαGlc |
- |
pNPαGal |
- |
pNPαMan |
- |
pNPαXyl |
- |
pNPαArap |
- |
pNPαAraf |
- |
pNPαRha |
- |
pNPαFuc |
- |
Table2. Kinetic parameters for FsGlu3C on pNP-β-glu.
Enzyme |
Km(mM) |
Vmax(mmol/min/mg) |
kcat(s-1) |
FsGlu3C |
2.98±0.29 |
4.22±0.28 |
5.6±0.37 |
![]()

Figure 2. TLC analyses of biotransformation of Rb1,Rb2,Rb3,Rc and Rd by recombinant FsGlu3C.
4. PHYSICOCHEMICAL PROPERTIES
pH Optima: 6.0
pH Stability: 6.0-9.0
Temperature Optima: 40 °C
Temperature Stability: 30-40°C

Figure 3. Effect of pH on activity (a) and stability (b) of FsGlu3C using pNP-Glu as substrate. The optimal pH (a) was determined at different pH from 2 to 11. The maximum activity obtained was defined as 100% activity. Thermal stability was determined by incubating the enzyme for 3 h at different pH. The activity of the enzyme before incubation was defined as 100%. Results are presented as means ± standard deviations(n = 3).

Figure 4. Effect of temperature on activity (a) and stability (b) of FsGlu3C using pNP-Glu as substrate. The optimal temperature (a) was determined at different temperatures from 20 to 90℃. The maximum activity obtained was defined as 100% activity. Thermal stability was determined by incubating the enzyme for 3 h at different temperatures. The activity of the enzyme before incubation was defined as 100%. Results are presented as means ± standard deviations(n = 3).
5. STORAGE CONDITIONS
The enzyme should be stored at -20℃. For assay, this enzyme should be diluted in phosphate buffer (20 mM) pH 7.0. Swirl to mix the enzyme immediately prior to use.
6. REFERENCES
[1] 刘洋. 嗜糖黄杆菌中β-葡萄糖苷酶重组表达及功能研究[D]. 东北师范大学, 2022.
[2] 董博妍, 原野. 嗜糖黄杆菌β-葡萄糖苷酶的功能及在稀有人参皂苷制备中的应用[J]. 微生物学通报, 2023, 50(09): 3833-3847.
Copyright 2010--2022 © 东北师范大学 生命科学学院 All Rights Reserved
地址:吉林省长春市人民大街5268号 邮编:130024 电话:0431-85099453